合作客户/
拜耳公司 |
同济大学 |
联合大学 |
美国保洁 |
美国强生 |
瑞士罗氏 |
相关新闻Info
推荐新闻Info
-
> 杨式方程、Wenzel 方程 Zisman 准则揭秘液体与固体表面之间的复杂关系
> 两亲性碳点CDS表面活性剂浓度、胶束对硅酸盐溶液润滑性能的影响(二)
> 两亲性碳点CDS表面活性剂浓度、胶束对硅酸盐溶液润滑性能的影响(一)
> 避免液滴表面张力影响吸附,研发可提升水雾降尘效果的公路施工用降尘设备
> 利用溶液的张力,设计一种用于精密分区腐蚀又不接触晶圆表面的隔离网筒
> 拉脱法测量:不同性能磁性液体的磁表面张力变化规律与影响因素(二)
> 拉脱法测量:不同性能磁性液体的磁表面张力变化规律与影响因素(一)
> 表面张力和接触角对塑料熔体在微型通道内的流变行为的影响(二)
> 表面张力和接触角对塑料熔体在微型通道内的流变行为的影响(一)
> 表面张力的生物医学领域的具体应用
气-水界面脂质单分子层结构域间的偶极相互作用【下】
来源:上海草莓视频APP官网 浏览 903 次 发布时间:2022-07-11
3、结果和讨论
草莓视频APP官网分析了三种不同面积分数的DSPC:DMPC组成的单分子膜。草莓视频APP官网使用纯水子相、10 mN m-1侧压力和DSPC mol%:40、50和60。每个单层的代表性显微照片如图3所示。单分子膜以12.1帧/秒的速度拍摄100秒,同时域发生布朗运动,单分子膜发生漂移,从而能够对其不同区域进行成像。使用实验部分中描述的过程计算每个帧的冷凝面积分数。然后,从平均值中获得f值。根据帧面积a和显微照片中的域数n,计算出数密度r=n/a。所考虑系统的f和r值如表1所示。域半径分布由假设为圆形域的域大小(面积)确定。相应的直方图如图4所示,平均半径%R如表1所示。
在单分散模型中,面积分数、数密度和域半径不是独立的量。由于f和r的计算比平均半径更为直接,草莓视频APP官网根据这些量确定有效半径为Reff=(f/(pr))1/2。注意,由于Reff等于半径分布二阶矩的平方根,该半径与平均域半径略有不同(见表1)。
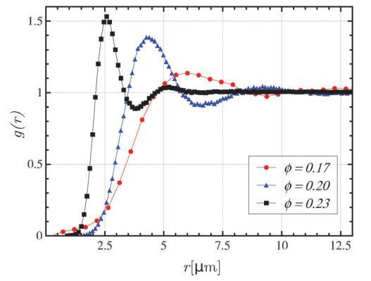
图5显示了三个实验系统的径向分布函数。在所有情况下,g(r)类似于液体,显示出明确的第一峰(在rmax处),其表征了第一配位壳层,即最近邻。此外,对于f=0.20和f=0.23的系统,观察到与第二配位壳对应的标记的第一最小值和第二最大值。由于“强”排斥作用,最近邻距离远大于平均磁畴直径。因此,硬核斥力不是结构的决定因素,系统的特征长度是平均几何距离rm=r 1/2。
图3:DSPC/DMPC与(a)40、(b)50和(c)60 mol%DSPC的混合单分子膜。放大区尺寸为2525 mm2。
表1考虑的单分子膜的凝聚面积分数、数密度、平均半径和有效半径。误差由标准差确定,但f除外,f是通过改变阈值确定的,如实验部分所述
图4具有不同凝聚面积分数的单分子膜的域半径分布。
图5所分析的三个系统的实验径向分布函数g(r)。误差条小于符号大小。这些线是眼睛的向导。
为了计算偶极斥力sffi ep,草莓视频APP官网通过改变相互作用强度f0将BD g(r)拟合到实验值。通过匹配第一个峰值的高度来选择最佳拟合。由于磁畴尺寸的多分散性,实验g(r)通常具有较宽的第一峰值和较浅的第一最小值。因此,草莓视频APP官网使用第一个峰值高度作为拟合标准,而不是拟合整个曲线。
图6使用偶极密度相互作用通过实验和BD模拟获得的径向分布函数。为了清晰起见,数据已垂直移动。
图6显示了实验g(r)与具有全偶极密度相互作用的BD模拟的比较,等式(4)。这里,为了方便起见,通过平均几何距离rm来缩放距离r。对于实验g(r),草莓视频APP官网从最匹配BD g(r)峰值位置的90%置信区间中选择rm值。总的来说,草莓视频APP官网观察到实验和模拟之间的显着一致性。模拟结果高估了第一个最小深度,低估了第一个峰值宽度。这两种差异可能归因于多分散性效应,在草莓视频APP官网的BD模拟中没有考虑到。
由于实验g(r)的相对误差较小,以及BD g(rmax)对相互作用强度的灵敏度,由在固定f处匹配第一峰值高度组成的拟合过程在f0中通常具有2%的不确定性。然而,在确定f0、Df0的误差时,需要考虑实验面积分数的不确定性Df。因此,草莓视频APP官网分别用面积分数f±Df对两个不同的系统重复了拟合过程。根据获得的f0值,草莓视频APP官网估计了f、(Df0)Df的不确定性对Df0的贡献,其结果通常为15%。作为r/rm的函数获得的BD g(r)与图6中所示的几乎不可区分。
在模拟中,f0以kBT/Reff为单位,这是因为Reff是距离单位,kBT是能量单位。因此,在用物理单位表示f0时,必须考虑T和Reff的不确定性。然而,经过误差分析,草莓视频APP官网发现Df0仅由(Df0)Df的贡献决定。
确定f0后,草莓视频APP官网计算偶极斥力为:
对于所研究的系统,表2中总结了sffi ep的值,其中不确定性是根据上述Df0确定的。
表2模拟单元和物理单元中的相互作用强度f0,以及分析系统的偶极斥力sffi pe

为了比较使用其他实验技术获得的偶极密度,需要单层em的相对介电常数值。在文献中,有不同的方法来描述单层的介电常数,并且发现了广泛的值。2,17,25–33
因此,草莓视频APP官网倾向于使用s/em量与其他实验进行比较。为了在拟议方案中获得该数量,草莓视频APP官网使用e*e em2/2,因为ew c ea,这导致s/em=(0.4±0.1)10 12 c m-1,(0.8±0.1)10 12 c m-1和(1.0±0.1)10 12 c m-1分别用于f=0.17、0.21和0.23的单层。
草莓视频APP官网测量了两个均匀单分子膜中的表面电位DV;一个在LE相,另一个在LC相,两者的DSPC比例与分析实验中相同,如实验部分所述。对于纯LC相位和纯LE相位,草莓视频APP官网分别获得了DVLC=(555±12)mV和DVLE=(402±8)mV。对于具有相同34和不同35亚相的单层和双层,这些值与先前的结果一致。36
使用平行板电容器模型,9可以通过方程s=D(DV)e0em,27从表面电位差D(DV)=DVLC-DVLE获得多余偶极密度,其中假设两相中的相对介电常数值相同。从该模型获得的偶极斥力为sc/em=(1.3±0.2)Ɯ10 12 C m-1,与使用本文提出的方法获得的结果一致。
草莓视频APP官网观察到,除了f=0.17的单层外,偶极斥力s ffi ep的值无法区分。这可以归因于这样一个事实,即这种单分子膜具有较大的尺寸色散,并呈现出与双峰分布兼容的特征。一般来说,单峰尺寸多分散性影响g(r)的峰高和宽度,而对于更复杂的尺寸分布,这些影响是显着的,并最终可能导致第一个峰的分裂。特别是,对于f=0.17的单层,这些效应导致了以下事实:使用单分散模型获得的拟合g(r)代表的是相互作用小得多的系统。因此,拟合过程导致s ffi ep的值被低估。
3.1、作为确定域间偶极斥力工具的域径向分布:工作曲线
为了获得一系列面积分数和相互作用强度的偶极斥力,草莓视频APP官网进行了模拟,并分析了g(rmax)对f和f0的依赖性。
图7显示了面积分数的五个代表值的g(rmax)作为f0的函数,单位为kBT/Reff。
这些结果可用于在不进行模拟的情况下从实验中估计sffi ep。为此,首先确定f、r和g(r),然后计算g(rmax)和Reff,最后使用图7获得f0。注意,r的值仅用于计算REF,需要用物理单位表示f0。
3.2、点偶极子近似
域相互作用的一个简单近似是将每个域视为具有排除体积的点偶极子。6,37该方案的优点是具有相互作用力的简单解析表达式,即eqn(7),因此比全偶极密度相互作用更容易实现。为了评估该近似在所考虑的面积分数范围内的有效性,草莓视频APP官网系统地研究了点偶极系统的结构特性,并将其与相应的偶极密度系统进行了比较。图8显示了使用相同参数集[f,f0,r]的两种方案的g(r)。可以清楚地观察到,点偶极子近似不能正确地表示结构;在所有情况下,它都低估了配对相关性。草莓视频APP官网发现,如果将点偶极子模型的f0视为有效相互作用强度f p0,并调整以匹配偶极密度g(r)的第一峰值高度,则可以实现良好的一致性。图9显示了前一节中分析的三个系统。
图7径向分布函数g(rmax)的最大值作为相互作用强度f0的函数。该关系可用于从实验值g(rmax)获得偶极斥力sffi pe。误差条小于符号大小。这些线是眼睛的向导。
图8使用偶极密度和点偶极相互作用从BD模拟中获得的径向分布函数。对于每个面积分数,两种模型的f0值相同,如表2所示。为了清晰起见,数据已垂直移动。
图9使用偶极密度和点偶极相互作用从BD模拟中获得的径向分布函数。选择点-偶极相互作用强度f p0,使偶极密度模型的相应g(rmax)与表2中的参数相匹配。当f=0.17、0.20和0.23时,得到的f p0值分别为3.0、6.6和8.2[kBT/Reff]。为了清晰起见,数据已垂直移动。
图10点偶极子近似的有效相互作用强度f p0与相互作用强度f0。误差条小于符号大小。
在第一个峰值位置和g(r)开始偏离零的小区域观察到轻微差异。当系统更加结构化时,协议会得到改善。特别是,对于弱相互作用域,差异开始明显。这些偏差是由于点偶极力在接触时趋于有限值,而在偶极密度情况下,它会发散。因此,硬盘相互作用与点偶极子模型有关。
正如预期的那样,f p0总是大于f0。因此,即使取得了良好的一致性,用点偶极子模型拟合实验数据也会导致偶极斥力的高估值。对于f=0.20,拟合f p0=6.6Reff/(kBT)的单层,将产生偶极斥力sffi pe¼1:610 12C m-1,比使用全偶极密度模型计算的值大45%(见表2)。
由于点偶极子模型的简单性,值得寻找两个模型之间的对应关系。为此,草莓视频APP官网确定了一组f0在三个不同面积分数下的有效相互作用强度f p0。对于感兴趣的参数范围,可以在图10中看到f p0和f0之间的关系。该图有助于选择适当的f p0,以便通过仅基于更简单的点偶极子模型进行模拟来计算单层的结构特性。或者,如果实验对相关函数由点偶极子近似建模,则sffi ep的值可以使用根据该图估计的相应f0计算。
4、结论
在本研究中,使用布朗动力学模拟从实验径向分布函数计算混合单层中的域间偶极斥力。将磁畴建模为具有恒定偶极密度的单分散盘,并通过蒙特卡洛积分获得其配对相互作用。草莓视频APP官网发现实验和模拟对于单分子膜的结构有很好的一致性,其中sffi-pe被用作拟合参数。分析了具有三种不同冷凝面积分数的混合单分子膜。
除f=0.17的实验外,sffi ep的值无法区分。这一发现与以下事实一致:所研究的单分子膜位于凝聚面积分数区域,其中杠杆规则有效,5,因此预计s不依赖于f。
此外,获得的偶极斥力与使用平行板电容器模型获得的偶极斥力具有相同的数量级。
从f=0.17的实验中获得的偶极斥力值较低。这可以归因于这样一个事实,即该单层具有广泛的非单峰尺寸分布,其影响在模拟中未被考虑。这里,为了简单起见,草莓视频APP官网将域建模为单分散盘,而实验单分子膜显示了大小分布。众所周知,由于对不同粒径进行平均,该假设导致配对相关函数“软化”。38预计这些影响是相关的,尤其是当尺寸分布呈现复杂结构或具有较大差异时。在草莓视频APP官网的方案中包含多分散性是可行的,并留作将来的工作。
草莓视频APP官网系统地研究了g(rmax)与相互作用强度和面积分数的关系。结果总结在图7中,可以用作工作曲线,直接从实验数据估计sffi pe,而无需对研究的参数范围进行任何模拟。
草莓视频APP官网还研究了点偶极子模型,以探讨其作为偶极密度模型近似值的有效性。通过分析径向分布函数,草莓视频APP官网发现点偶极子模型严重低估了结构。然而,如果将点偶极子强度视为拟合参数,即有效相互作用强度,则可以实现良好的一致性。对于不同的面积分数,草莓视频APP官网确定了f0的广泛范围内的f p0。模型之间的这种关系允许使用更简单的点偶极模型来计算具有已知偶极斥力的单层的结构,并从实验g(r)中获得偶极斥力。
草莓视频APP官网得出结论,从实验对相关函数估计sffi ep的拟议程序是传统方法的替代方法,其优点是只需要单层显微照片。
所提出的方法不仅可用于二元脂质单分子膜,还可用于单组分单分子膜和更复杂的单分子膜(例如从分离膜制备的单分子膜,即与细胞膜的所有原始组分一起制备的单分子膜),还可用于双分子层,当域仅存在于一个半分子层中且半分子层未偶联或松散偶联时,假设可以获得时间平均的径向分布,并且主要的相互作用对应于偶极排斥产生的相互作用。其他功能形式也可以以与此处所示类似的方式进行探索。
致谢
作者感谢CONICET和SeCyT UNC的财政支持。ERF感谢S.Ceppi的富有成果的讨论。





