合作客户/
| 
 拜耳公司 | 
 同济大学 | 
| 
 联合大学 | 
 美国保洁 | 
| 
 美国强生 | 
 瑞士罗氏 | 
相关新闻Info
- 
                            > 全自动草莓污污污视频测定原理及操作步骤【实验】> 微凝胶颗粒在气液界面处吸附动力学及动态方程研究——结果和讨论、结论、致谢!> 我国陶瓷墨水生产企业基本状况以及国产墨水与进口墨水性能的比较> 常用溶剂的极性、密度、沸点、毒性等性质总结> 不同温度下水波波速和表面张力系数的关系与计算方法【实验】(一)> 油乳剂疫苗黏度与稳定性影响因素> 氟原子表面张力极低,可提高消泡剂的持续抑泡效果> 磺酸基团修饰水滑石LB复合薄膜自组装机理及酸致变色特性(一)> St与MMA在无皂乳液聚合过程中的动态表面张力变化——摘要、实验部分> LDH/染料复合LB膜组装过程的多样化和化学气体传感机理研究
推荐新闻Info
- 
                            > 磺酸基团修饰水滑石LB复合薄膜自组装机理及酸致变色特性(二)> 磺酸基团修饰水滑石LB复合薄膜自组装机理及酸致变色特性(一)> LDH/染料复合LB膜组装过程的多样化和化学气体传感机理研究> 矿井瓦斯防治:表面活性剂溶液表面张力、泡沫特性及对甲烷缓释效应(三)> 矿井瓦斯防治:表面活性剂溶液表面张力、泡沫特性及对甲烷缓释效应(二)> 矿井瓦斯防治:表面活性剂溶液表面张力、泡沫特性及对甲烷缓释效应(一)> 连铸结晶器内渣钢两相表面张力和界面张力的演变行为与机制> St与MMA在无皂乳液聚合过程中的动态表面张力变化——结果与讨论、结论> St与MMA在无皂乳液聚合过程中的动态表面张力变化——摘要、实验部分> 低分子热塑性树脂体系CBT500/DBTL的界面张力与温度的关联性(二)
低表面张力物系在规整填料塔中的流体力学性能和传质性能(二)
来源:化工进展 浏览 288 次 发布时间:2024-09-25
2实验结果及讨论
	
开始实验时,先调至最大加热负荷使塔内填料预液泛,再降至固定负荷,待全塔工况基本稳定后精馏2~2.5h。于各个取样口取样,同时记录各个实验参数的值。调节加热电压,改变导热油的温度进而改变塔釜蒸汽量,测定不同负荷下的实验值直至液泛。回流量由质量流量计测得,填料层压降由高精度的西门子TDS 4433差压变送器测得。液相样品的组成用气相色谱仪Agilent 7890 A测定。
	
2.1压降
	
正庚烷-甲基环己烷物系在500Y和750Y型规整填料塔中的压降随气相F因子的变化如图3所示。从图3可以看出,两种填料的压降均随气相F因子的增大显著增加,相同气相负荷下750Y填料的压降明显高于500Y填料。这是由于750Y填料的结构相对500Y更为致密,故压降也较高。高压降限制了实验操作的通量,故500Y操作范围更广,在一定负荷范围内也更稳定。
	 
 
	
2.2液泛性能
	
实验测定了回流量从小到大直至液泛的流体力学性能和传质性能,得到了液泛时的实验数据,给定了操作的极限。图4(a)为500Y填料塔的全塔传质效率随气相F因子的变化,从图中可以看出随F因子的增大,HETP先下降后升高,即填料塔的传质效率先升高后下降,在气相F因子为1.8kg0.5/(m0.5·s)附近出现转折。图4(b)为750Y填料塔的全塔传质效率随气相F因子的变化,从图中可以看出随F因子的增大,HETP变化趋势与500Y相似,传质效率先升高后下降,转折点在F因子等于1.5kg0.5/(m0.5·s)附近。
	
转折是由于液泛的发生使填料塔传质效率下降,由此可以得出500Y规整填料塔的最大F因子Fmax=1.8kg0.5/(m0.5·s);750Y规整填料塔的最大F因子Fmax=1.5kg0.5/(m0.5·s)。对于正庚烷-甲基环己烷物系,500Y填料的泛点气速为uF=0.98m/s,750Y填料的泛点气速为uF=0.82m/s。目前预测填料泛点气速的方法主要有经验关联式法和通用关联图法。经典的预测泛点气速的关联式为贝恩(Bain)-霍根(Hougen)关联式,即如式(10)。
	 
 
	
2.3传质性能
	
图5表示500Y和750Y填料塔HETP值随气相F因子的变化。由图5可以看出,泛点以下,两种填料的HETP随气相F因子的增大而减小,即传质效率随气液相负荷的增加而升高;泛点以上,两种填料的HETP随气相F因子的增大而增大,即传质效率随气液相负荷的增加而降低。这是因为泛点以下,随气相负荷的增大,气相传质系数和传质界面积均增大。全回流条件下,液相流速和气相流速变化一致,气相负荷增大时,液相负荷也增加,大液量提高了填料的润湿率,增加了有效传质界面积;另一方面高气速增加了液膜的湍动,也会增加有效传质界面积。
	 
 
	
图6为500Y和750Y填料塔中不同高度填料段HETP随气相F因子的变化。高度以填料层底部为基准。如图6所示,填料段下部传质效率较高,上部传质效率下降。这是由于流体分布不均造成的。液相从顶端向下流动时,由于端效应,经过一定高度填料层后液相才能铺展开,接近均匀分布。而气相因为受液相流动的影响,在填料塔下端气相入口段分布比较均匀,在填料段顶端分布不均。从图6还可以看出填料段中上部的传质效率波动较大,这是由于在此段填料内流动状况较为复杂,持液量和传质面积波动较大。Basden等指出持液量随塔高并不是恒定的,在一定的气液相流量下,Mellapak 500Y和MellapakPlus 752Y的持液量随塔高的变化规律与本文中传质效率随塔高的变化规律一致。
	
	 
 
	 
 
	
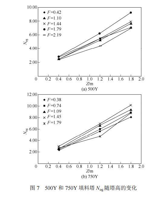
2.4传质性能随塔高的变化
	
总体积传质系数Kya是气相总传质系数和有效界面积的乘积,直观反映了塔内传质的好坏。由式(9)得,气相流率一定时,测定Nog随塔高的变化,可以得出气相总体积传质系数随塔高的变化,分析塔内传质行为。
	
图7为500Y和750Y填料塔中Nog随塔高的变化。由图7(a)可以看出,大多数情况下500Y填料塔中Nog随塔高的变化为一条直线,即总体积传质系数沿塔高不发生变化。这是因为在适宜的操作范围内,塔内流动状态比较稳定,气相负荷一定时,气相传质系数不变。正庚烷-甲基环己烷为纯有机物系,表面张力中性体系,塔内形成的微弱的正表面张力梯度有利于液膜的稳定,从而使有效传质面积保持恒定。由此可以推测,对有机负体系而言,负的表面张力梯度会引起液膜沿流动方向不断破碎,造成有效传质面积的减小,因此Kya随塔高下降不断降低。这与耿皎等[18]在直径为30mm的玻璃精馏塔中选用正体系庚烷-甲苯和负体系苯-庚烷的精馏实验得到的结论一致。从图7(a)可得当气相负荷过小或过大时,500Y填料塔中Nog随塔高的变化并不是一条直线,这说明总体积传质系数Kya沿塔高发生变化。当气相负荷很小时,总体积传质系数Kya沿气相流动方向减小;当气相负荷很大时,总体积传质系数Kya沿液相流动方向减小。当流体流量过高或过低时,塔内流动状态极不稳定,过低的气相负荷,使气相传质系数沿气相流动方向减小、气液相接触减弱,即表现为总体积传质系数Kya随塔高增加而减小;而过大的气相负荷,引起液泛,液体积聚在塔上部很难流下,使沿液相流动方向液相传质系数减小、气液相接触减弱,即表现为总体积传质系数Kya随塔高降低而减小。对比图7(a)和7(b)可得,750Y填料塔中总体积传质系数Kya随塔高的变化规律与500Y填料塔一致。
	
2.5相同气相负荷下传质性能的差异
	
实验为确定传质效率的转折点,在气相负荷F=1.8kg0.5/(m0.5·s)附近反复测量多次,发现如下现象。当气相负荷由小到大变化时同一实验点测得的传质效率略低于当气相负荷由大到小变化时的传质效率,如图8所示。传质效率的差异可能与流动过程中动态接触角的变化有关。液体流动过程中,液滴与填料之间的接触角并不是静态接触角,液滴沿流动方向上有很强的弯曲界面,形成一个很大的接触角,这是前进角,其通常大于静态接触角;与液滴流动方向相反的拖尾位置处,有一个很小的接触角,一般来说该接触角小于静态接触角,这是后退角。液体流量对液体的流动状态有决定性的影响,改变液体流量可以改变液体的局部流动状态,从而影响填料的持液量,进而影响填料的传质性能。
	
3结论
	
实验测定了正庚烷-甲基环己烷在Mellapak500Y和750Y型规整填料塔中的流体力学性能和传质性能。实验在内径400mm的不锈钢精馏塔中进行,测定了气相负荷从小到大直至液泛的实验数据,由实验结果,可以得出以下结论。
	 
 
(1)在一定负荷范围内,750Y填料的分离效率优于500Y填料,但单位填料高度的压降高于500Y填料,导致操作稳定性比500Y填料差,处理量比500Y填料小。
	
(2)实验测定了气相负荷从小到大直至液泛的流体力学性能和传质性能,得到了液泛时的实验数据,给定了操作的极限。500Y规整填料塔的最大F因子Fmax=1.8kg0.5/(m0.5·s);750Y规整填料塔的最大F因子Fmax=1.5kg0.5/(m0.5·s)。对于正庚烷-甲基环己烷物系,500Y填料的泛点气速为uF=0.98m/s,750Y填料的泛点气速为uF=0.82m/s。并由实验结果拟合出贝恩(Bain)-霍根(Hougen)关联式中常数A、K的值。对于500Y填料A=0.291,K=1.75;对于750Y填料A=0.420,K=1.75。
	
(3)气相负荷递增变化时的传质效率略低于气相负荷递减变化时的传质效率。
	
(4)在适宜负荷范围内,对于纯有机物系,正体系和中性体系的总体积传质系数Kya沿塔高不发生变化;负体系的总体积传质系数Kya随塔高下降不断降低。当气相负荷过低时,总体积传质系数Kya沿气相流动方向减小;当气相负荷过高时,总体积传质系数Kya沿液相流动方向减小。
	
符号说明
	
A——贝恩(Bain)-霍根(Hougen)关联式关联常数
	
at——填料比表面积,m2/m3
	
F——气相负荷动能因子,kg0.5/(m0.5·s)
	
G——气相摩尔流量,mol/(m2·s)
	
g——重力加速度,m/s2
	
Hog——气相总传质单元高度,m
	
HETP——等板高度,m
	
K——贝恩(Bain)-霍根(Hougen)关联式关联常数
	
Kya——气相总体积传质系数,mol/(m3·s)
	
L——液相摩尔流量,mol/(m2·s)
	
myx——气液平衡线斜率
	
N——理论板数,量纲为1
	
Nog——液相总传质单元数,量纲为1
	
uF——泛点气速,m/s
	
x——液相轻组分摩尔分率,量纲为1
	
xi——各取样口液相轻组分摩尔分率,i=1,2,3
	
xb——塔底取样口液相轻组分摩尔分率,量纲为1
	
y——气相轻组分摩尔分率,量纲为1
	
y*——与液相组成平衡的气相摩尔分率,量纲为1
	
Z——填料层高度,m
	
αm——平均相对挥发度,量纲为1
	
ε——填料层孔隙率,m3/m3
	
λ——气提因子,量纲为1
	
μL——液体黏度,mPa·s
	
ρL——液相密度,kg/m3
	
ρV——气相密度,kg/m3
	
ωL——液相质量流量,kg/h
	
ωV——气相质量流量,kg/h
	






 
  
  
  
 